Did Attention Really Collapse the Photon Wavefunction?
Magic tricks that exploit scientific principles have amazed audiences for centuries—this one was peer-reviewed.
Two major lines of evidence point to the same conclusion: no credible mind–matter effect. The 2012 double-slit claim instead follows from a one-wavenumber displacement in the reported FFT spectrum, consistent with a shift introduced during data processing.
In prior posts, I examined two of the most extensive investigations of MicroPK. A multi-lab replication of RNG experiments reported null results (Jahn et al., 2000). In addition, my reanalysis of a 380-study MicroPK meta-analysis showed that the small reported departure from chance in the database is best explained by publication bias and related experimenter effects, rather than by mind–matter interaction (Bösch et al., 2006; Pallikari, 2023).
Against this backdrop, a 2012 paper claimed that a feature of consciousness—“intention”—could affect matter by collapsing the photon wavefunction in a laser-based double-slit system. This inference was drawn from changes in a key measure derived from the visibility of interference fringes recorded by a digital camera. The claim was reiterated in subsequent papers in the same journal. Shortly after the original publication, I reviewed the reported experimental setup in On the Question of Wavefunction Collapse in a Double-Slit Diffraction Experiment (Pallikari, 2012). Here I revisit that analysis with clearer quantification and additional forensic observations, documenting internal parameter inconsistencies and evidence consistent with a spectral shift in the reported FFT data.

The arrangement is standard (Figure 1): a HeNe laser (wavelength λ) illuminates a double slit (slit width a, separation d); the far-field interference pattern is recorded by a digital camera at distance D. The authors reported pixel size, fringe spacing, and the main FFT peak spatial frequency, among other experimental parameters (Table 1). Notably, the paper reported a camera pixel height of 0.2 μm, which is incorrect by a factor of 1,000 relative to the manufacturer’s specification of 200 μm (Thorlabs, n.d.).

All formulas used here are provided in the companion post, The Physics of a Double-Slit Experiment: Testing Internal Consistency, published concurrently (Pallikari, 2025b). For clarity, I cite those equations below using their Appendix labels (e.g., A7, A18)

Discrepant Parameters: the Slit-to-Camera Distance D
The 2012 paper reports a fringe spacing within the central diffraction band of δ≈69px. It also gives a slit-to-camera distance of D1=10.4 cm, later “corrected” in a follow-up to D2=14.0 cm, attributing D1 to a dyslexic error. Neither value is consistent with the paper’s own reported parameters.
Substituting the reported δ and the other experimental parameters (Table 1) into the standard double-slit relation (Eqs. A1, A2) yields D≈15.3 cm; not 10.4 cm or 14.0 cm. This discrepancy is the first clear red flag.

Measurements from the Published Graphs
The 2012 report states a fringe spacing of δ=69 px, but direct measurement of the 3,000-px-wide interference record (Figure 2A) gives δ=67.8±0.4 px. From the two central fringes, the visibility is Vpattern ≈ 0.60. By contrast, the fringe visibility from the reported FFT power spectrum (Figure 2B) using the equations in the companion Appendix to this post (Eqs. A14–A15), is lower: VFFT ≈ 0.16.
This discrepancy is resolved by examining the reported FFT spectrum.
Estimating fringe spacing.
The fringe spacing is the distance between the centers of two adjacent bright fringes. In a copy of the reported central diffraction band, 28 narrow horizontal markers were placed by a suitable graph-analysis application so that each intersected the centers of two neighboring bright fringes. Each marker was swept vertically along the full height of the corresponding fringes to confirm alignment with both centers, and its length was then recorded from left to right (Table 2). This procedure yielded an average fringe spacing of
which, using the length calibration on the graph
(units on the application’s internal length scale), corresponds to
The reported fringe spacing
and the value estimated on the reported interference pattern are therefore in disagreement.


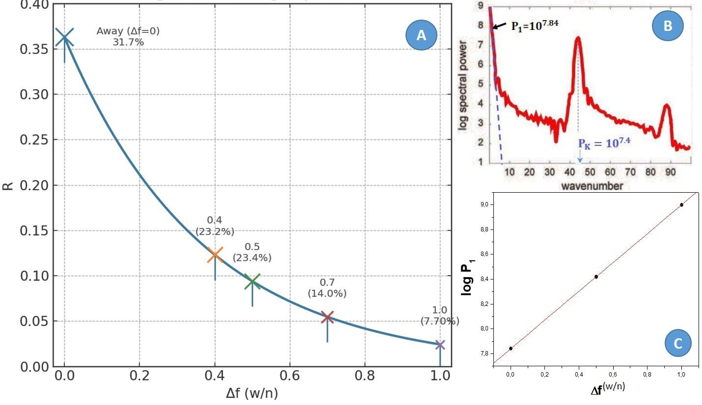
The Unnatural +1 wavenumber Shift of the FFT
In the published spectrum (Figure 2B, dotted trace), the zero-wavenumber (DC) component, proportional to the total recorded intensity, is absent. The first displayed spectral point occurs at 1 w/n, with spectral power P1=109 a.u., and the main peak is shown at K=45 w/n. Reinstating the spectrum by shifting the whole curve left by 1 w/n (Figure 2B, solid trace) restores the spectrum to start at 0 w/n and places the peak at K=44 w/n, consistent with the fringe spacing inferred from the interference pattern (Appendix, Eqs. A11–A13).
The visibility computed from the reinstated spectrum is now V≈0.60, consistent with the value estimated from the interference-pattern, independently supporting the corrected placement of the FFT (Appendix, eqs. A14–A20).
In short, the +1 w/n spectral shift suppresses the FFT-based visibility, from ≈0.60 to ≈0.16, creating the appearance of a ‘consciousness effect’ in the diffraction pattern.

Why the Shift Matters
A +1 wavenumber displacement inflates the denominator P1 in the key ratio R=PK/P1 (eq. A14) from P’1=107.84 to P1=109 (Figure 2B). Because V depends on R (Eq. A15), the derived fringe visibility drops, from ≈ 0.60 (eq. A20) to ≈ 0.16 (Eqs. A15- A16).
As demonstrated in Figure 3A, even a small offset of the plotted spectrum within 0≤Δf≤1 wavenumber produces large changes in R, thereby creating the appearance of a consciousness effect where none exists.
The Spectral Shift Simulates Consciousness-Related Effect
An almost imperceptible spectral displacement 0≤Δf≤1 w/n reduces R (Figure 3A), providing a straightforward mechanism for simulating a mind–matter effect in the reported “towards” condition. Multiple lines of evidence in the main text and Appendix indicate that the FFT published in 2012 corresponds to the shifted spectrum—the “attention-towards” condition—introduced during data processing. The reinstated spectrum (“attention-away”), which represents the unshifted baseline, does not appear in the 2012 paper.
In our reconstruction the “towards” blocks used discrete shifts Δf∈{0.4,0.5,0.7,1.0} with session exposures of 23.2%, 23.4%, 14.0%, and 7.70%, respectively, while the “away” (baseline, Δf=0) occupies 31.7% of the session. Because R decays approximately exponentially with Δf, the raw R values cluster near R(0)≈0.363 (away) and R(1)≈0.025 (towards), with scatter arising from ordinary sources such as finite sampling, sensor and electronic noise, small laser-power fluctuations, alignment drift, and digitization or windowing effects. When the data are pooled and z-scored within a session (as in the 2012 analysis), while preserving the imbalanced block timing, the standardized means reproduce the reported separation (Away = +0.28; Towards = −0.13), as shown in Figure 4 of the 2012 publication, without invoking any influence of consciousness.
Epilogue
Von Neumann—and later Wigner—speculated that consciousness might collapse the quantum wave function (von Neumann, 1955; Mehra, 1995). Wigner later moved away from that view, treating state reduction as an objective physical event rather than something triggered by consciousness (Esfeld, 1999; see also Thaheld, 2005).
Contemporary work provides no confirmed evidence that consciousness collapses the wave function (Chalmers & McQueen, 2021; de Barros & Oas, 2016; Ibison & Jeffers, 1998): some argue the hypothesis is unfalsifiable in practice (de Barros & Oas, 2016), while others propose testable versions that remain unverified (Chalmers & McQueen, 2021). Independent analyses likewise conclude that quantum mechanics needs no consciousness to resolve its foundational problems (Yu & Nikolić, 2011).
The idea nevertheless persists in popular accounts and in a small number of experimental claims, including the double-slit study reviewed here (Pallikari, 2012). Our forensic analysis finds no evidence of a mind–matter effect (intention influencing the laser beam). The apparent positive result in the 2012 report reduces to error—in this case, a small shift of the FFT spectrum introduced during data processing that creates the appearance of an effect. As shown here, the reported outcome can be generated entirely in code by shifting the spectrum by less than one wavenumber, without any physical action of consciousness on the system.
A genuinely sensitive test of any consciousness–quantum link would require metrological accuracy and audit-ready procedures that leave no room for the kinds of faults documented here. The level of scientific rigor observed in the 2012 report is incompatible with the precision such a test demands. Claims that consciousness directly affects matter must meet the standards for any physical hypothesis.
Where the stakes include the nature of reality itself, transparency, replication, and integrity are the safeguards against being misled by results that merely appear to confirm what we hope to be true.
References
Bösch, H., Steinkamp, F., & Boller, E. (2006). Examining psychokinesis—A meta-analysis. Psychological Bulletin, 132(4), 497–523. https://doi.org/10.1037/0033-2909.132.4.497
Chalmers, D. J., & McQueen, K. J. (2021). Consciousness and the collapse of the wave function. arXiv:2105.02314 [quant-ph].
de Barros, J. A., & Oas, G. (2016). Can we falsify the consciousness-causes-collapse hypothesis in quantum mechanics? arXiv:1609.00614 [quant-ph].
Esfeld, M. (1999). Wigner’s view of physical reality. Studies in History and Philosophy of Modern Physics, 30(2), 145–154. https://doi.org/10.1016/S1355-2198(99)00010-1
Ibison, M., & Jeffers, S. (1998). A double-slit diffraction experiment to investigate claims of consciousness-related anomalies. Journal of Scientific Exploration, 12(4), 543–550.
Jahn, R. G., Dunne, B. J., Nelson, R. D., Dobyns, Y. H., & Bradish, G. J. (2000). Mind/Machine Interaction Consortium: PortREG replication experiments. Journal of Scientific Exploration, 14(4), 499–555.
Mehra, J. (Ed.). (1995). The Collected Works of Eugene Paul Wigner. Part B, Vol. 6: Philosophical Reflections and Syntheses (Annotated by G. G. Emch). Springer.
Pallikari, F. (2012). On the question of wavefunction collapse in a double-slit diffraction experiment. arXiv:1210.0432 [quant-ph].
Pallikari, F. (2023). Understanding the nature of psychokinesis. Journal of Anomalistics (JAnom), 23(1), 103–131.
Pallikari, F. (2025b). The physics of a double-slit experiment: Testing Internal Consistency. Substack. https://fotinipallikari.substack.com/p/the-physics-of-a-double-slit-experiment
Thaheld, F. H. (2005). Does consciousness really collapse the wave function? arXiv:quant-ph/0509042
Thorlabs. (n.d.). USB 2.0 CCD line camera with external trigger [Datasheet]. Catalog V20, p. 1307.
von Neumann, J. (1955). Mathematical Foundations of Quantum Mechanics (R. T. Beyer, Trans.). Princeton University Press. (Original work published 1932)
Yu, S., & Nikolić, D. (2011). Quantum mechanics needs no consciousness (to solve its problems). Annalen der Physik, 523(11), 931–938. https://doi.org/10.1002/andp.201100078





